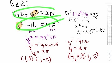
Lesson 73 Section 7.4 Solving Systems of Nonlinear Equations

Tonton & Download Video Musik Gratis

⬇ DOWNLOAD NOW
Jika muncul iklan pop-up, tutup lalu klik tombol kembali

Download lagu Lesson 73 Section 7.4 Solving Systems of Nonlinear Equations secara gratis hanya untuk keperluan promosi. Dukung artis favorit kamu dengan membeli musik original di iTunes atau platform resmi lainnya.