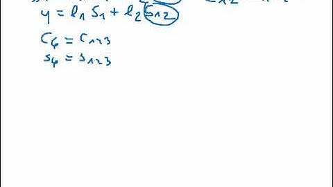
Lecture 07b Inverse Kinematics Kinematic Decoupling and Planar RRR Arm

Tonton & Download Video Musik Gratis

⬇ DOWNLOAD NOW
Jika muncul iklan pop-up, tutup lalu klik tombol kembali

Download lagu Lecture 07b Inverse Kinematics Kinematic Decoupling and Planar RRR Arm secara gratis hanya untuk keperluan promosi. Dukung artis favorit kamu dengan membeli musik original di iTunes atau platform resmi lainnya.