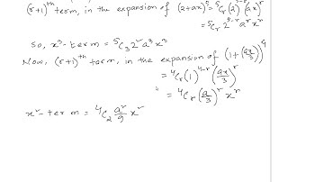
HSC Extension 2 (4unit) 2011, Question 2(d)(i) - Binomial Theorem

Tonton & Download Video Musik Gratis

⬇ DOWNLOAD NOW
Jika muncul iklan pop-up, tutup lalu klik tombol kembali

Download lagu HSC Extension 2 (4unit) 2011, Question 2(d)(i) - Binomial Theorem secara gratis hanya untuk keperluan promosi. Dukung artis favorit kamu dengan membeli musik original di iTunes atau platform resmi lainnya.