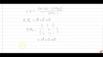
The distance between the line `bar r=2bar i-2bar j+3bar k+lambda((bar i-bar j+4bar k)` and the...

Tonton & Download Video Musik Gratis

⬇ DOWNLOAD NOW
Jika muncul iklan pop-up, tutup lalu klik tombol kembali

Download lagu The distance between the line `bar r=2bar i-2bar j+3bar k+lambda((bar i-bar j+4bar k)` and the... secara gratis hanya untuk keperluan promosi. Dukung artis favorit kamu dengan membeli musik original di iTunes atau platform resmi lainnya.