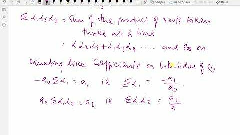
Numerical methods and analysis : - (Theory of equations Symmetric functions ;Solving problems) - 92.

Tonton & Download Video Musik Gratis

⬇ DOWNLOAD NOW
Jika muncul iklan pop-up, tutup lalu klik tombol kembali

Download lagu Numerical methods and analysis : - (Theory of equations Symmetric functions ;Solving problems) - 92. secara gratis hanya untuk keperluan promosi. Dukung artis favorit kamu dengan membeli musik original di iTunes atau platform resmi lainnya.