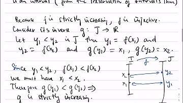
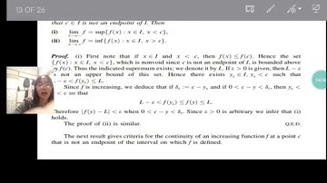
Chapter 5 Continuous and Functions: Section 5.6 Monotone and Inverse Function

Tonton & Download Video Musik Gratis

⬇ DOWNLOAD NOW
Jika muncul iklan pop-up, tutup lalu klik tombol kembali

Download lagu Chapter 5 Continuous and Functions: Section 5.6 Monotone and Inverse Function secara gratis hanya untuk keperluan promosi. Dukung artis favorit kamu dengan membeli musik original di iTunes atau platform resmi lainnya.