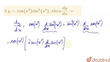
Differentiate the function with respect to x, cosx^3.sin^2(x^5),find the derivative of the function

Tonton & Download Video Musik Gratis

⬇ DOWNLOAD NOW
Jika muncul iklan pop-up, tutup lalu klik tombol kembali

Download lagu Differentiate the function with respect to x, cosx^3.sin^2(x^5),find the derivative of the function secara gratis hanya untuk keperluan promosi. Dukung artis favorit kamu dengan membeli musik original di iTunes atau platform resmi lainnya.