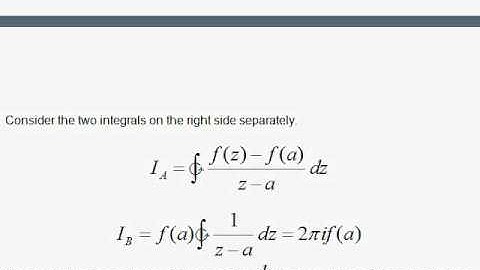
Cauchy's Integral Formula for Derivatives (Lecture-38 for S3 Complementary Mathematics)

Tonton & Download Video Musik Gratis

⬇ DOWNLOAD NOW
Jika muncul iklan pop-up, tutup lalu klik tombol kembali

Download lagu Cauchy's Integral Formula for Derivatives (Lecture-38 for S3 Complementary Mathematics) secara gratis hanya untuk keperluan promosi. Dukung artis favorit kamu dengan membeli musik original di iTunes atau platform resmi lainnya.