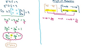
Conic Sections, Rotations of Quadratic Equations, Part 3 Finding the Angle of Rotation

Tonton & Download Video Musik Gratis

⬇ DOWNLOAD NOW
Jika muncul iklan pop-up, tutup lalu klik tombol kembali

Download lagu Conic Sections, Rotations of Quadratic Equations, Part 3 Finding the Angle of Rotation secara gratis hanya untuk keperluan promosi. Dukung artis favorit kamu dengan membeli musik original di iTunes atau platform resmi lainnya.