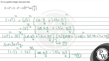
If n is any integer then show that (1 + i)²ⁿ + (1 – i)²ⁿ 2ⁿ+¹ Cos(n pi / 2) @EAG

Tonton & Download Video Musik Gratis

⬇ DOWNLOAD NOW
Jika muncul iklan pop-up, tutup lalu klik tombol kembali

Download lagu If n is any integer then show that (1 + i)²ⁿ + (1 – i)²ⁿ 2ⁿ+¹ Cos(n pi / 2) @EAG secara gratis hanya untuk keperluan promosi. Dukung artis favorit kamu dengan membeli musik original di iTunes atau platform resmi lainnya.