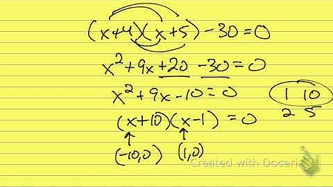
Unit 7 Lesson 8 & 9: Solving Quadratic Equations by Using Factored Form

Tonton & Download Video Musik Gratis

⬇ DOWNLOAD NOW
Jika muncul iklan pop-up, tutup lalu klik tombol kembali

Download lagu Unit 7 Lesson 8 & 9: Solving Quadratic Equations by Using Factored Form secara gratis hanya untuk keperluan promosi. Dukung artis favorit kamu dengan membeli musik original di iTunes atau platform resmi lainnya.