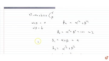
Let `alpha,beta` be the roots of `x^2-ax +b =0` and `A_n = alpha^n + beta^n`, then `A_(n+1) - a...

Tonton & Download Video Musik Gratis

⬇ DOWNLOAD NOW
Jika muncul iklan pop-up, tutup lalu klik tombol kembali

Download lagu Let `alpha,beta` be the roots of `x^2-ax +b =0` and `A_n = alpha^n + beta^n`, then `A_(n+1) - a... secara gratis hanya untuk keperluan promosi. Dukung artis favorit kamu dengan membeli musik original di iTunes atau platform resmi lainnya.