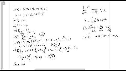
FEA unit II Topic; shape function derivation of quadratic bar element ( global co ordinates)

Tonton & Download Video Musik Gratis

⬇ DOWNLOAD NOW
Jika muncul iklan pop-up, tutup lalu klik tombol kembali

Download lagu FEA unit II Topic; shape function derivation of quadratic bar element ( global co ordinates) secara gratis hanya untuk keperluan promosi. Dukung artis favorit kamu dengan membeli musik original di iTunes atau platform resmi lainnya.