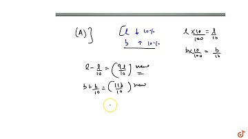
If the length of a rectangle is increased by 10% and its breadth is decreased by 10%, then its area?

Tonton & Download Video Musik Gratis

⬇ DOWNLOAD NOW
Jika muncul iklan pop-up, tutup lalu klik tombol kembali

Download lagu If the length of a rectangle is increased by 10% and its breadth is decreased by 10%, then its area? secara gratis hanya untuk keperluan promosi. Dukung artis favorit kamu dengan membeli musik original di iTunes atau platform resmi lainnya.