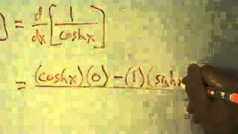
HOW DO YOU DIFFERENTIATE sech(x)? (HYPERBOLIC FUNCTIONS, HYPERBOLIC SECANT, QUOTIENT RULE SINH/COSH)

Tonton & Download Video Musik Gratis

⬇ DOWNLOAD NOW
Jika muncul iklan pop-up, tutup lalu klik tombol kembali

Download lagu HOW DO YOU DIFFERENTIATE sech(x)? (HYPERBOLIC FUNCTIONS, HYPERBOLIC SECANT, QUOTIENT RULE SINH/COSH) secara gratis hanya untuk keperluan promosi. Dukung artis favorit kamu dengan membeli musik original di iTunes atau platform resmi lainnya.