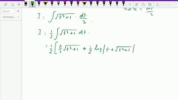
Integration : - ( Quadratic functions under the square root ; Solving problems ) - 68.

Tonton & Download Video Musik Gratis

⬇ DOWNLOAD NOW
Jika muncul iklan pop-up, tutup lalu klik tombol kembali

Download lagu Integration : - ( Quadratic functions under the square root ; Solving problems ) - 68. secara gratis hanya untuk keperluan promosi. Dukung artis favorit kamu dengan membeli musik original di iTunes atau platform resmi lainnya.