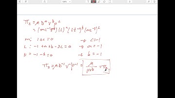
Buckingham Pi Theorem Example Problem 2 - Sphere in Cross Flow

Tonton & Download Video Musik Gratis

⬇ DOWNLOAD NOW
Jika muncul iklan pop-up, tutup lalu klik tombol kembali

Download lagu Buckingham Pi Theorem Example Problem 2 - Sphere in Cross Flow secara gratis hanya untuk keperluan promosi. Dukung artis favorit kamu dengan membeli musik original di iTunes atau platform resmi lainnya.