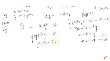
A two digit number is such that product of its digit is 18 When 63 is subtracted from the number the

Tonton & Download Video Musik Gratis

⬇ DOWNLOAD NOW
Jika muncul iklan pop-up, tutup lalu klik tombol kembali

Download lagu A two digit number is such that product of its digit is 18 When 63 is subtracted from the number the secara gratis hanya untuk keperluan promosi. Dukung artis favorit kamu dengan membeli musik original di iTunes atau platform resmi lainnya.