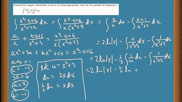
Calculus II - 8.5.2 Using Partial Fractions with Quadratic Factors to Integrate

Tonton & Download Video Musik Gratis

⬇ DOWNLOAD NOW
Jika muncul iklan pop-up, tutup lalu klik tombol kembali

Download lagu Calculus II - 8.5.2 Using Partial Fractions with Quadratic Factors to Integrate secara gratis hanya untuk keperluan promosi. Dukung artis favorit kamu dengan membeli musik original di iTunes atau platform resmi lainnya.