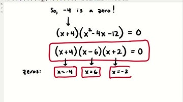
Lesson 11 day 2 part 1 Evaluating Functions using Synthetic Division

Tonton & Download Video Musik Gratis

⬇ DOWNLOAD NOW
Jika muncul iklan pop-up, tutup lalu klik tombol kembali

Download lagu Lesson 11 day 2 part 1 Evaluating Functions using Synthetic Division secara gratis hanya untuk keperluan promosi. Dukung artis favorit kamu dengan membeli musik original di iTunes atau platform resmi lainnya.