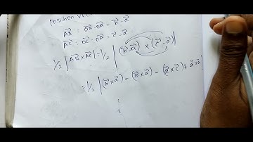
11th Maths Exercise 8.4 Sum 7 | Vector Algebra 1 | TamilNadu Syllabus

Tonton & Download Video Musik Gratis

⬇ DOWNLOAD NOW
Jika muncul iklan pop-up, tutup lalu klik tombol kembali

Download lagu 11th Maths Exercise 8.4 Sum 7 | Vector Algebra 1 | TamilNadu Syllabus secara gratis hanya untuk keperluan promosi. Dukung artis favorit kamu dengan membeli musik original di iTunes atau platform resmi lainnya.