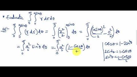
Problem on Multiple integral changing into Polar Coordinates | Model Question Paper-1 Q.2a | 21MAT21

Tonton & Download Video Musik Gratis

⬇ DOWNLOAD NOW
Jika muncul iklan pop-up, tutup lalu klik tombol kembali

Download lagu Problem on Multiple integral changing into Polar Coordinates | Model Question Paper-1 Q.2a | 21MAT21 secara gratis hanya untuk keperluan promosi. Dukung artis favorit kamu dengan membeli musik original di iTunes atau platform resmi lainnya.