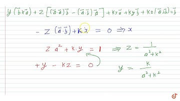
Let `vecu and vecv` be unit vectors. If `vecw` is a vector such that `vecw+vecwxxvecu=vecv`, then

Tonton & Download Video Musik Gratis

⬇ DOWNLOAD NOW
Jika muncul iklan pop-up, tutup lalu klik tombol kembali

Download lagu Let `vecu and vecv` be unit vectors. If `vecw` is a vector such that `vecw+vecwxxvecu=vecv`, then secara gratis hanya untuk keperluan promosi. Dukung artis favorit kamu dengan membeli musik original di iTunes atau platform resmi lainnya.