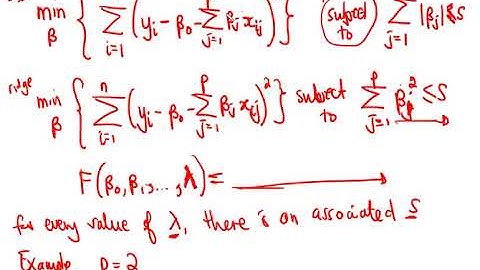
Fixing RMSE and R2 Calculation Errors in LASSO Regression Models

Tonton & Download Video Musik Gratis

⬇ DOWNLOAD NOW
Jika muncul iklan pop-up, tutup lalu klik tombol kembali

Download lagu Fixing RMSE and R2 Calculation Errors in LASSO Regression Models secara gratis hanya untuk keperluan promosi. Dukung artis favorit kamu dengan membeli musik original di iTunes atau platform resmi lainnya.