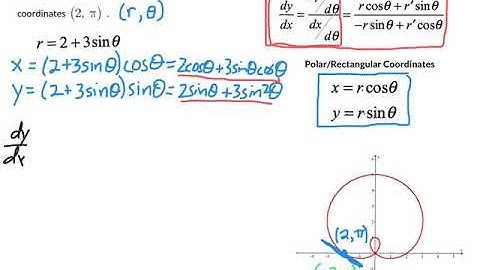
AP Precalculus Section 3.2 Example: Find Tangent and Slope on a Unit Circle

Tonton & Download Video Musik Gratis

⬇ DOWNLOAD NOW
Jika muncul iklan pop-up, tutup lalu klik tombol kembali

Download lagu AP Precalculus Section 3.2 Example: Find Tangent and Slope on a Unit Circle secara gratis hanya untuk keperluan promosi. Dukung artis favorit kamu dengan membeli musik original di iTunes atau platform resmi lainnya.