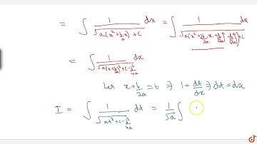
Indefinite integration | Integrate 1/(ax^2+bx+c) or integrate 1/sqrt(ax^2+bx+c) with respect to x

Tonton & Download Video Musik Gratis

⬇ DOWNLOAD NOW
Jika muncul iklan pop-up, tutup lalu klik tombol kembali

Download lagu Indefinite integration | Integrate 1/(ax^2+bx+c) or integrate 1/sqrt(ax^2+bx+c) with respect to x secara gratis hanya untuk keperluan promosi. Dukung artis favorit kamu dengan membeli musik original di iTunes atau platform resmi lainnya.