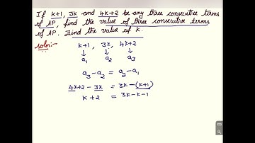
| If K2 - k , 4k + 3 and 27 - k are three consecutive terms of an AP find the possible values of k |

Tonton & Download Video Musik Gratis

⬇ DOWNLOAD NOW
Jika muncul iklan pop-up, tutup lalu klik tombol kembali

Download lagu | If K2 - k , 4k + 3 and 27 - k are three consecutive terms of an AP find the possible values of k | secara gratis hanya untuk keperluan promosi. Dukung artis favorit kamu dengan membeli musik original di iTunes atau platform resmi lainnya.