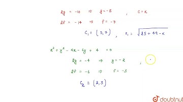
find the value of k if the points (4,k),(2,3) are conjugate w.r.to the circle x^2+y^2=17.

Tonton & Download Video Musik Gratis

⬇ DOWNLOAD NOW
Jika muncul iklan pop-up, tutup lalu klik tombol kembali

Download lagu find the value of k if the points (4,k),(2,3) are conjugate w.r.to the circle x^2+y^2=17. secara gratis hanya untuk keperluan promosi. Dukung artis favorit kamu dengan membeli musik original di iTunes atau platform resmi lainnya.