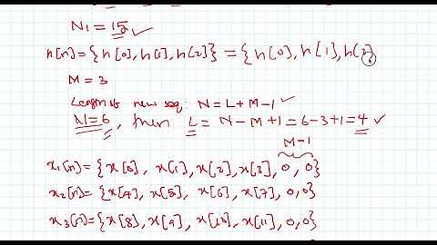
Q6b Using linear convolution find y(n). Compare by solving using Overlap save & Overlap Add methods

Tonton & Download Video Musik Gratis

⬇ DOWNLOAD NOW
Jika muncul iklan pop-up, tutup lalu klik tombol kembali

Download lagu Q6b Using linear convolution find y(n). Compare by solving using Overlap save & Overlap Add methods secara gratis hanya untuk keperluan promosi. Dukung artis favorit kamu dengan membeli musik original di iTunes atau platform resmi lainnya.