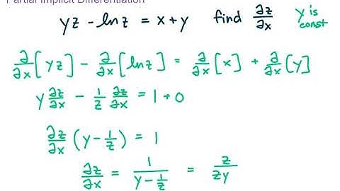
14.3 Part 2 - Partial Derivatives of Three or More Variables, Implicit Partial Differentiation

Tonton & Download Video Musik Gratis

⬇ DOWNLOAD NOW
Jika muncul iklan pop-up, tutup lalu klik tombol kembali

Download lagu 14.3 Part 2 - Partial Derivatives of Three or More Variables, Implicit Partial Differentiation secara gratis hanya untuk keperluan promosi. Dukung artis favorit kamu dengan membeli musik original di iTunes atau platform resmi lainnya.