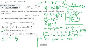
To find extremal of given functional using Euler's Lagrange eq.|CSIR NET SEPT.2022 (COV)

Tonton & Download Video Musik Gratis

⬇ DOWNLOAD NOW
Jika muncul iklan pop-up, tutup lalu klik tombol kembali

Download lagu To find extremal of given functional using Euler's Lagrange eq.|CSIR NET SEPT.2022 (COV) secara gratis hanya untuk keperluan promosi. Dukung artis favorit kamu dengan membeli musik original di iTunes atau platform resmi lainnya.