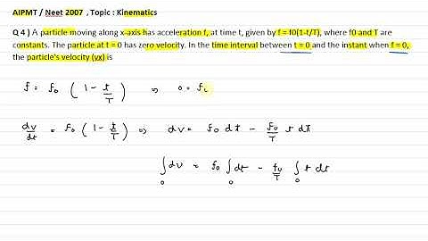
A particle moving along x-axis has acceleration f, at time t, given by f=f_0 (1-t/T) where f0 and T

Tonton & Download Video Musik Gratis

⬇ DOWNLOAD NOW
Jika muncul iklan pop-up, tutup lalu klik tombol kembali

Download lagu A particle moving along x-axis has acceleration f, at time t, given by f=f_0 (1-t/T) where f0 and T secara gratis hanya untuk keperluan promosi. Dukung artis favorit kamu dengan membeli musik original di iTunes atau platform resmi lainnya.