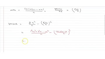
Formula for Variance | Mean and Variance of 'n' Natural Numbers | Class 11th Statistics | Dikki Sir

Tonton & Download Video Musik Gratis

⬇ DOWNLOAD NOW
Jika muncul iklan pop-up, tutup lalu klik tombol kembali

Download lagu Formula for Variance | Mean and Variance of 'n' Natural Numbers | Class 11th Statistics | Dikki Sir secara gratis hanya untuk keperluan promosi. Dukung artis favorit kamu dengan membeli musik original di iTunes atau platform resmi lainnya.