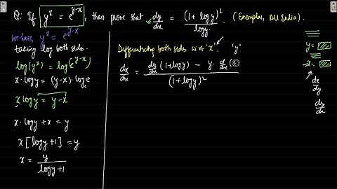
Differentiation - [EXEMPLAR, ALL INDIA] - Problems on First Order Derivatives - Example#5

Tonton & Download Video Musik Gratis

⬇ DOWNLOAD NOW
Jika muncul iklan pop-up, tutup lalu klik tombol kembali

Download lagu Differentiation - [EXEMPLAR, ALL INDIA] - Problems on First Order Derivatives - Example#5 secara gratis hanya untuk keperluan promosi. Dukung artis favorit kamu dengan membeli musik original di iTunes atau platform resmi lainnya.