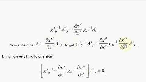
GRSS 028 evaluating the contravariant metric tensor in h theta space

Tonton & Download Video Musik Gratis

⬇ DOWNLOAD NOW
Jika muncul iklan pop-up, tutup lalu klik tombol kembali

Download lagu GRSS 028 evaluating the contravariant metric tensor in h theta space secara gratis hanya untuk keperluan promosi. Dukung artis favorit kamu dengan membeli musik original di iTunes atau platform resmi lainnya.