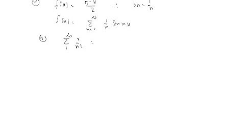
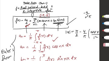
find Fourier series expansion of:Q4) f(x)=x-x^2 in (-π,π) and Q5) f(x)=-π in(-π,0) & f(x)=x in (0,π)

Tonton & Download Video Musik Gratis

⬇ DOWNLOAD NOW
Jika muncul iklan pop-up, tutup lalu klik tombol kembali

Download lagu find Fourier series expansion of:Q4) f(x)=x-x^2 in (-π,π) and Q5) f(x)=-π in(-π,0) & f(x)=x in (0,π) secara gratis hanya untuk keperluan promosi. Dukung artis favorit kamu dengan membeli musik original di iTunes atau platform resmi lainnya.