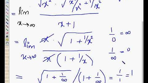
Calculus by Sm Yusuf. Ch# 1 Real Numbers, Limit and continuity. Exercise 1.1 Question # 25,26.

Tonton & Download Video Musik Gratis

⬇ DOWNLOAD NOW
Jika muncul iklan pop-up, tutup lalu klik tombol kembali

Download lagu Calculus by Sm Yusuf. Ch# 1 Real Numbers, Limit and continuity. Exercise 1.1 Question # 25,26. secara gratis hanya untuk keperluan promosi. Dukung artis favorit kamu dengan membeli musik original di iTunes atau platform resmi lainnya.