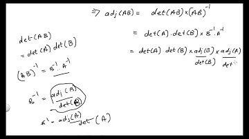
If A and B square matrices of order n then adj.AB=adj.B adj.A Bsc 1st year maths Algebra

Tonton & Download Video Musik Gratis

⬇ DOWNLOAD NOW
Jika muncul iklan pop-up, tutup lalu klik tombol kembali

Download lagu If A and B square matrices of order n then adj.AB=adj.B adj.A Bsc 1st year maths Algebra secara gratis hanya untuk keperluan promosi. Dukung artis favorit kamu dengan membeli musik original di iTunes atau platform resmi lainnya.