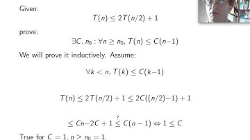
Recurrence Relations: Substitution Method Part 1 (Link to improved version in comments)

Tonton & Download Video Musik Gratis

⬇ DOWNLOAD NOW
Jika muncul iklan pop-up, tutup lalu klik tombol kembali

Download lagu Recurrence Relations: Substitution Method Part 1 (Link to improved version in comments) secara gratis hanya untuk keperluan promosi. Dukung artis favorit kamu dengan membeli musik original di iTunes atau platform resmi lainnya.