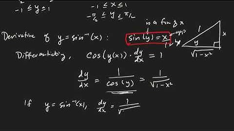
Section 3.5: Implicit Differentiation (Derivatives of Inverse Trig Functions)

Tonton & Download Video Musik Gratis

⬇ DOWNLOAD NOW
Jika muncul iklan pop-up, tutup lalu klik tombol kembali

Download lagu Section 3.5: Implicit Differentiation (Derivatives of Inverse Trig Functions) secara gratis hanya untuk keperluan promosi. Dukung artis favorit kamu dengan membeli musik original di iTunes atau platform resmi lainnya.