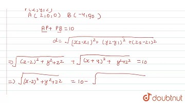
Find the equation of the locus of point P, the sum of whose distance from the points (2, 0, 0)

Tonton & Download Video Musik Gratis

⬇ DOWNLOAD NOW
Jika muncul iklan pop-up, tutup lalu klik tombol kembali

Download lagu Find the equation of the locus of point P, the sum of whose distance from the points (2, 0, 0) secara gratis hanya untuk keperluan promosi. Dukung artis favorit kamu dengan membeli musik original di iTunes atau platform resmi lainnya.