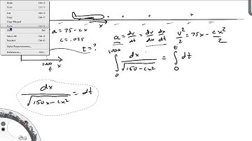
12-93,94 | Projectile Motion | Engineering Dynamics Hibbeler 14th Edition | Engineers Academy

Tonton & Download Video Musik Gratis

⬇ DOWNLOAD NOW
Jika muncul iklan pop-up, tutup lalu klik tombol kembali

Download lagu 12-93,94 | Projectile Motion | Engineering Dynamics Hibbeler 14th Edition | Engineers Academy secara gratis hanya untuk keperluan promosi. Dukung artis favorit kamu dengan membeli musik original di iTunes atau platform resmi lainnya.