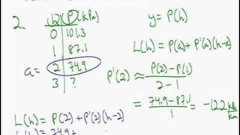
Math 1A 3.9.2 Use linear approximation to estimate the atmospheric pressure at an altitude of 3 km.

Tonton & Download Video Musik Gratis

⬇ DOWNLOAD NOW
Jika muncul iklan pop-up, tutup lalu klik tombol kembali

Download lagu Math 1A 3.9.2 Use linear approximation to estimate the atmospheric pressure at an altitude of 3 km. secara gratis hanya untuk keperluan promosi. Dukung artis favorit kamu dengan membeli musik original di iTunes atau platform resmi lainnya.