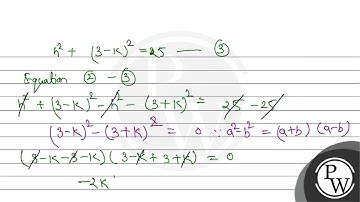
Write the equation of the circle passing through (3,4) and touching y-axis at the origin.

Tonton & Download Video Musik Gratis

⬇ DOWNLOAD NOW
Jika muncul iklan pop-up, tutup lalu klik tombol kembali

Download lagu Write the equation of the circle passing through (3,4) and touching y-axis at the origin. secara gratis hanya untuk keperluan promosi. Dukung artis favorit kamu dengan membeli musik original di iTunes atau platform resmi lainnya.