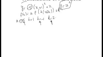
MCR3U Grade 11 Functions - Lesson 10: 2.3 Horizontal and Vertical Translations of Functions

Tonton & Download Video Musik Gratis

⬇ DOWNLOAD NOW
Jika muncul iklan pop-up, tutup lalu klik tombol kembali

Download lagu MCR3U Grade 11 Functions - Lesson 10: 2.3 Horizontal and Vertical Translations of Functions secara gratis hanya untuk keperluan promosi. Dukung artis favorit kamu dengan membeli musik original di iTunes atau platform resmi lainnya.