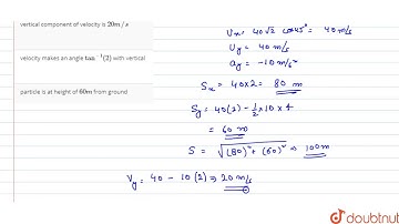
A particle is projected from ground with velocity `40(sqrt2) m//s at 45^@`. Find (a) velocity and

Tonton & Download Video Musik Gratis

⬇ DOWNLOAD NOW
Jika muncul iklan pop-up, tutup lalu klik tombol kembali

Download lagu A particle is projected from ground with velocity `40(sqrt2) m//s at 45^@`. Find (a) velocity and secara gratis hanya untuk keperluan promosi. Dukung artis favorit kamu dengan membeli musik original di iTunes atau platform resmi lainnya.