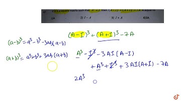
If A is a square matrix such that `A^(2)= I`, then `(A-I)^(3)+(A+I)^(3)-7A` is equal to

Tonton & Download Video Musik Gratis

⬇ DOWNLOAD NOW
Jika muncul iklan pop-up, tutup lalu klik tombol kembali

Download lagu If A is a square matrix such that `A^(2)= I`, then `(A-I)^(3)+(A+I)^(3)-7A` is equal to secara gratis hanya untuk keperluan promosi. Dukung artis favorit kamu dengan membeli musik original di iTunes atau platform resmi lainnya.