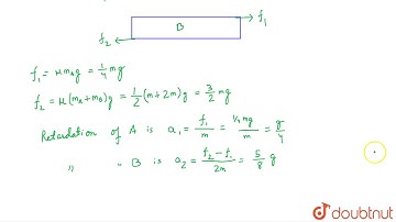
Figure shows a small block of mass m kept at the left end of a larger block of mass M and length ℓ.

Tonton & Download Video Musik Gratis

⬇ DOWNLOAD NOW
Jika muncul iklan pop-up, tutup lalu klik tombol kembali

Download lagu Figure shows a small block of mass m kept at the left end of a larger block of mass M and length ℓ. secara gratis hanya untuk keperluan promosi. Dukung artis favorit kamu dengan membeli musik original di iTunes atau platform resmi lainnya.