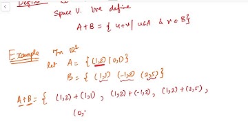
Lecture 24 || Sum Of Subspace || Linear Algebra ||

Tonton & Download Video Musik Gratis

โฌ‡ DOWNLOAD NOW
Jika muncul iklan pop-up, tutup lalu klik tombol kembali

Download lagu Lecture 24 || Sum Of Subspace || Linear Algebra || secara gratis hanya untuk keperluan promosi. Dukung artis favorit kamu dengan membeli musik original di iTunes atau platform resmi lainnya.