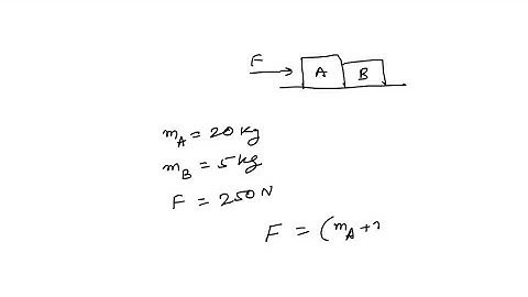
A 12 0 kg box resting on a horizontal, frictionless surface is attached to a 5 00 kg weight by a thi

Tonton & Download Video Musik Gratis

⬇ DOWNLOAD NOW
Jika muncul iklan pop-up, tutup lalu klik tombol kembali

Download lagu A 12 0 kg box resting on a horizontal, frictionless surface is attached to a 5 00 kg weight by a thi secara gratis hanya untuk keperluan promosi. Dukung artis favorit kamu dengan membeli musik original di iTunes atau platform resmi lainnya.